在气候变化和人类活动的综合影响下,在全球范围内灌木的密度和盖度迅速增加,形成了灌丛化现象,影响了畜牧生产、水源涵养、生物多样性保育等重要的生态功能。灌木移除被普遍认为是能够逆转灌丛化过程,恢复生态系统功能的有效措施,但是灌木移除能否有效逆转灌丛化带来的影响?制约灌丛化生态系统恢复的关键因素是什么?这些悬而未决的问题极大限制了全球灌丛化生态系统的恢复和管理。
足球欧洲杯 陆地表层系统科学与可持续发展研究院(简称陆发院)丁婧祎老师等采用meta分析的方法,基于全球524项灌丛化和灌木移除研究12,198 组数据(图1),首次在全球范围内将灌木移除过程和灌丛化过程链接,阐明了灌木移除无法逆转灌丛化过程,且灌木移除的效果极大受限于灌丛化的物种和灌丛化的阶段。2022年12月22日,《自然植物》(Nature Plants)杂志在线发表了这一研究成果。

图1. 灌丛化(encroachment)和灌木移除(removal)在(A)全球范围,(B)各大洲,(C)不同生态系统的分布。
(1)灌木移除整体上无法逆转灌丛化
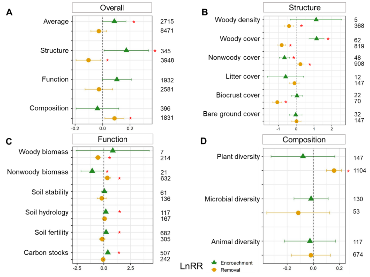
基于meta分析的结果发现,在全球范围内灌木移除措施总体上无法逆转灌丛化所带来的影响(图2A)。对于牧民普遍关心的草本盖度,灌木移除仅能逆转<50%的灌丛化影响。例如灌丛化导致草本植物盖度下降了48%,但是灌木移除仅能提高21%的草本植物盖度(图2B)。与以往认为灌丛化是生态系统退化反映的普遍观点相反,该研究发现灌丛化能够提高生态生态系统8%的总体功能,具体体现在生态系统功能的增加上(图2C),如灌丛化能够增加31%的碳固定、18%的土壤肥力和17%的水文功能,而灌丛移除整体上对生态系统功能的影响并不显著,说明灌木移除并非是一种能够有效提高灌丛化生态系统功能的管理措施。

图2. 灌丛化(绿色)和灌木移除(黄色)对(A)生态系统总体,(B)生态系统结构指标,(C)生态系统功能指标,(D)生态系统组成指标的影响。研究采用LnRR ± 95%置信区间表征灌丛化[Ln(灌丛化/未灌丛化)]和灌木移除[Ln(灌木移除/未移除)]的影响,值为正则表示显著增加,值为负则表示显著减少,图中数字代表样本量。
(2)灌木移除的逆转效果与灌丛化物种和灌丛化阶段有关
已有研究表明灌木物种是影响灌木移除和灌丛化效应的关键因素(Eldridge and Ding 2021),因此研究筛选了四种常见属探究灌丛化和灌木移除的影响。研究发现即使是对于相同的物种,灌木移除也没有呈现出逆转灌丛化影响的显著效果(图3B)。利用回归森林,该研究进一步探究了9种植物性状对不同灌丛化和灌木移除影响的解释率,研究发现植物性状在灌丛化和灌木移除过程中的作用程度不同(图3C)。这可能是导致两个过程无法逆转的原因之一。此外,灌木移除效果随着灌丛化程度的加强(以灌丛盖度表征)和灌木移除时间的增加而减弱(图4)。例如对重度灌丛化样地进行移除会增加裸地降低碳固定(图3B),而随着灌木移除时间的增加(图3C),土壤稳定性显著下降,同时灌木盖度增加,样地重新出现灌丛化现象。

图3. 不同灌木物种的灌丛化和灌木移除对生态过程的影响。(A)灌丛化和灌木移除研究中前10个最广泛研究的灌木植物属;(B)四种灌木植物属的灌丛化和灌木移除对生态过程的影响,研究采用LnRR ± 95%置信区间表征灌丛化和灌木移除的影响,数字代表灌丛化和灌木移除对生态系统总体影响的样本量;(C)不同植物性状对灌丛化和灌木移除的生态效应的解释率(随机森林分析结果),颜色越深代表解释率越大。

图4. 灌木移除效果随灌丛化程度和灌木移除时间的变化趋势。(A-B)表示灌木移除对生态系统组成、功能、结构和不同的生态指标的影响随移除前灌丛盖度(灌丛化程度)的变化趋势;(C-D)表示灌木移除对生态系统组成、功能、结构和不同生态指标的影响随灌丛盖度(灌丛化程度)的变化趋势;研究采用LnRR ± 95%置信区间表征灌丛化和灌木移除的影响,曲线采用线性回归或者二次多项式回归进行拟合。
(3)灌丛化效果的直接间接影响机制
为了进一步探究制约灌木移除逆转灌丛化过程的主要因素,我们基于结构方程模型分析了非生物环境(气候、土壤),植被(灌丛化植物性状,灌丛化盖度)和灌木移除管理(不同移除措施,移除年限)对灌木移除效果(草本植物盖度,灌木盖度,动物多样性)的直接和间接影响(图5)。研究发现不同的响应变量对应的主导驱动因素存在显著差异。例如对于抑制灌丛盖度、增加草本植物盖度,灌木移除措施的类型是主导因素,而对于试图恢复灌丛化生态系统的动物多样性保育,灌木的植物性状和灌丛化阶段是主要决定因素。此外,气候和土壤等环境因子会通过影响灌丛化物种的植物性状和灌丛化阶段而影响灌木移除的效果,表明未来气候变化可能通过影响灌丛化过程影响灌木移除的效果。

图5. 驱动因子(气候、土壤、灌丛化性质和移除管理)对灌木移除效果(A草本植物盖度,B灌木盖度,C动物多样性)的影响。其中,AI干旱度,SEAS降水变率,CLAY土壤黏粒,COV灌丛盖度,HT高度,ROOT根系类型,SHP冠层形状,RES再发芽能力,DEC落叶性,TIME灌木移除后的时间,PHY物理移除,CHE化学移除,BUR火烧移除,MUL多种移除;(D)基于每个驱动因子的标准总效应所计算的相对解释率占比。
足球欧洲杯 陆发院丁婧祎老师为论文第一作者,澳大利亚新南威尔士大学David Eldridge教授为通讯作者。该成果在全球范围内证实了灌木移除并非逆转灌丛化的有效手段,是丁婧祎博士在2020(Ding et al., 2020, Global Change Biology)和2021年(Eldridge and Ding, 2021, New Phytologist)对灌木移除效果研究基础上,在灌丛化领域取得的又一重要研究成果,对促进灌丛化生态系统的可持续管理具有重要意义。
该研究得到第三次新疆综合科学考察项目(2022xjkk0405)、国家自然科学基金(No. 32201324, No. 41991232)、地表过程与资源生态国家重点实验室基金(2022-TS-02)和中央高校基本科研业务费专项资金等项目的支持。
相关研究论文:
Ding. J., Eldridge, D. J.* (2022). The success of woody plant removal depends on encroachment stage and plant traits. Nature Plants. //dx.doi.org/10.1038/s41477-022-01307-7
Eldridge, D. J., Ding, J.* (2021). Remove or retain: ecosystem effects of woody encroachment and removal are linked to plant structural and functional traits. New Phytologist, 229, 2637-2646.
Ding, J., Travers, S. K., Delgado-Baquerizo, M., Eldridge, D. J.* (2020). Multiple trade-offs regulate the effects of woody plant removal on biodiversity and ecosystem functions in global rangelands. Global Change Biology, 26, 709-720.
附丁婧祎博士简介

足球欧洲杯 足球欧洲杯 陆地表层系统科学与可持续发展研究院讲师,硕士生导师。研究方向为干旱区生态系统过程和功能。主要研究植物群落对干旱化的响应、生物多样性与生态系统功能的关系、草原灌丛化和灌丛移除对生态系统的影响。2014年本科毕业于延边大学,2017年硕士毕业于足球欧洲杯 ,2021年于澳大利亚新南威尔士大学获博士学位。近年来以第一作者在Nature Plants、Global Change Biology、Global Ecology Biogeography、Journal of Ecology 等国际期刊上发表论文30余篇,其中一作及通讯26篇。入选2023-2025年度北京市科协青年人才托举工程,获Harper Prize 2021 最佳论文奖提名、新南威尔士大学杰出博士论文奖等荣誉。